++ 50 ++ hA }CN 123561-H c a c n e words
What isare the products of the following acid base mechanism N Li C N H a C N from CHEMISTRY 345 at University of Nevada, Las VegasAVHAIF Australian Veterinary Hospital AIF AUS ACTIVE CITIZEN F Active Citizen Force SA ADEN TRP Aden Troop I AFR N MED C African Native Medical Corps SA Alta Regiment Alberta Regiment Can ALWAR IS INFY Alwar Imperial Service Infantry I AMB MANNERS AmbulanceFamilies also took home book donations, clothing, and toys A special thanks to all our volunteers and donors who made this event possible El Chef Latino, United HealthKeepers Plus, Health Department, and all individual donors And a BIG Thank You to Carla and Yanira for organizing this successful event!
An Organic Compound Contains C 40 H 13 33 And N 46 67 Its Empirical Formula Will Be
H c a c n e words
H c a c n e words-The energetics of AH (A = C, N, O) bond cleavage on clean, atomicoxygen precovered, and hydroxyl precovered, closepacked transitionmetal surfaces are The a–CNH/n–Si structure exhibited photovoltaic characteristics Furthermore, the a–CH/a–CNH/Al structure cell also exhibited photovoltaic characteristics with an opencircuit voltage and shortcircuit current of 55 mV and 0 μA/cm − 2, respectively



Ir Amines
Certified Home Health Aide (CHHA) School Directory Each state creates their own training requirements for senior home care professionals Certified Home Health Aides are a training certification provided in New Jersey, Florida and California Click below to find CHHA Training Schools in your stateIf you don't think that healthy fast food is possible, visit C&H Cafeteria with restaurant locations in Kernersville and Durham, NC for scratch made food that is nutritious, convenient and affordable Our goal is to provide the community with a friendly, casual dining experience and serve our customers homemade, wholesome foods prepared dailyTaking care of YOU Promoting a healthy lifestyle for the HHA and CNA Coupon Discount This course is approved for 2 contact hours and will assist the CNA and HHA in identifying and managing stress $10
CHANGE stands for Catholic Homeschooling Apostolate of North Georgia Educators The mission of CHANGE is to support Roman Catholic families who embrace home education This support is also extended to families whose primary educational mode may be either public or private school and who want support in supplementing the teaching ofCNA / HHA Certified nursing assistant home health aides We have specialized in home health care Our Home Health Aide and Certified Nursing Assistants Provide assistance with personal care and activities of daily living to our patients under the supervision of a Registered Nurse or a Registered Nurse or Registered TherapistThe u/Y_H_A_C_N community on Reddit Reddit gives you the best of the internet in one place
World War II postal acronyms were first used to convey messages between servicemen and their sweethearts back home They were usually written on the back of an envelope The acronyms, possibly including some more recent additions, include SWALK — Sealed With A Loving Kiss A variant is SWAK ("Sealed With A Kiss")CNH appeals 1 an order of disposition placing her on probation after the trial court denied her ore tenus motion to suppress evidence when a routine suspicionless search of her purse at the alternative school she attended revealed a knife In denying the motion the trial court determined that the suspicionless search was a proper101 W Prospect Ave Cleveland, Ohio Phone Fax hcconcrete@sherwincom



Vintage Royal Doulton Porcelain Figurine London Cry H N C N 749 Ebay



Left Crystal Structure Of Cis Cr Cn 4 Mcn 2 Gd H 2 O 2 Dmf 4 Download Scientific Diagram
In elementary algebra, the binomial theorem (or binomial expansion) describes the algebraic expansion of powers of a binomialAccording to the theorem, it is possible to expand the polynomial (x y) n into a sum involving terms of the form ax b y c, where the exponents b and c are nonnegative integers with b c = n, and the coefficient a of each term is a specific positive During A–H (A = C, N, O) bond cleavage on O* or OH* precovered (111) surfaces, the oxygen species play the role of modifying the reaction energy by changing the species involved in the initial and final states of the reactionT H A Y N Á F R A N C I N E 💫 🇧🇷 MaríliaSP 🦀 Canceriana 🎭Actress and Model 💄Makeup 💌Parcerias via Direct Posts Reels IGTV ged



Visible Light Promoted Regioselective Amination And Alkylation Of Remote C Sp 3 H Bonds Nature Communications



Tetraethylammonium Hydroxide 25 In Water Acros Organics 500g Plastic Bottle Tetraethylammonium Hydroxide 25 In Water Acros Organics Fisher Scientific
OHA Osmanli Horse Artillery (can be found on Crimea medals) OIC Osmanli Irregular Cavalry (can be foundon Crimea medals) OMD Ordnance Medical DepartmentView LaShanna Collier, MHA, CNA's profile on LinkedIn, the world's largest professional community LaShanna has 5 jobs listed on their profile See the complete profile on LinkedIn and386 Bridgton Rd Westbrook, Maine Phone Phone FAX



Cn H A1r Ip67 Consilium Building Safety



Fakkegrav Hotel C N U N
M o c i n h a $ 2,846 likes talking about this Personal Blog Facebook is showing information to help you better understand the purpose of a PageSHARE, INC is a nonprofit organization with no religious or government affiliation We have a full time Interim Executive Director, an Assistant Executive Director and Professional Chef SHARE, Inc also has a parttime resident assistant and a parttime maintenance manager OurDuring A–H (A = C, N, O) bond cleavage on O* or OH* precovered (111) surfaces, the oxygen species play the role of modifying the reaction energy by changing the species involved in



Welcome To Visit Geodetector Website



Soil Fungal Mycelia Have Unexpectedly Flexible Stoichiometric C N And C P Ratios Camenzind 21 Ecology Letters Wiley Online Library
149k Followers, 944 Following, 1,214 Posts See Instagram photos and videos from C I N T H A N I E ⚡️ (@cinthanie)Share your videos with friends, family, and the worldTo e mbra c e our s h a re d va l ue s , c a re for e a c h ot h e r a n d t a ke bol d a c t i on i n s uppor t of s ome our our s t a t e's mos t c r i t i c a l wor ke r s Title HB 96 (Ag Worker Housing Credit) Testimony Comm on Tax Expend



Frontiers Competition Between Chemolithotrophic Acetogenesis And Hydrogenotrophic Methanogenesis For Exogenous H2 Co2 In Anaerobically Digested Sludge Impact Of Temperature Microbiology



1 Sogning Ii 2 Plan Sogning Ved Nogletransformation Hashing Hashfunktioner Kollisionsstrategier Effektivitet Hashing I Java Class Hashtable Ppt Download
Dedicated technical minecraft space and other topics related to the DIFFERENT world playing topics like the fact of being part of a simulation _ Coming soon live Playing and Talking / on issues of99 hasc no 106–31 electromagnetic pulse threats to us military and civilian infrastructure hearing before the military research and development subcommittee of the committee on armed services house of representatives one hundred sixth congress first session hearing held october 7, 1999 page 2 prev page top of docCANCHA Club social y gastronómico de pizza y pan 4 amigxs Pizzas de autor Masa madre Horno a leña Miércoles a Domingos 730pm hasta agotar stock



Transamidation Via C N Bond Cleavage Of Amides And Tertiary Amines Organic Chemistry Frontiers Rsc Publishing



Cyanide Anion Cn Chemspider
The word unscrambler will now check for words which can be created from your given letters Found words are sorted based on their length Longer words are shown first Words with the same amount of letters are grouped together These groups Strumming There is no strumming pattern for this song yet Create and get 5 IQ Verse F * It's getting harder Fm * C It's getting harder without you F * Sometimes I feel crazy Fm * C Holding onto broken wounds Fm Oh winter is coming F C Take me home take me back to your room Fm Oh and sometimes I feel crazy F C Bruise my skin and feel it Films of aCH, aCNH and aCFH with thickness of approximately 0 nm were deposited on silicon substrate by PECVD The aCH films were grown in a C 2 H 2 atmosphere For the films of aCNH and aCFH, atmospheres of C 2 H 2 /N 2 and C 2 H 2 /CF 4 mixtures have been used respectively, employing an asymmetrical capacitivelycoupled



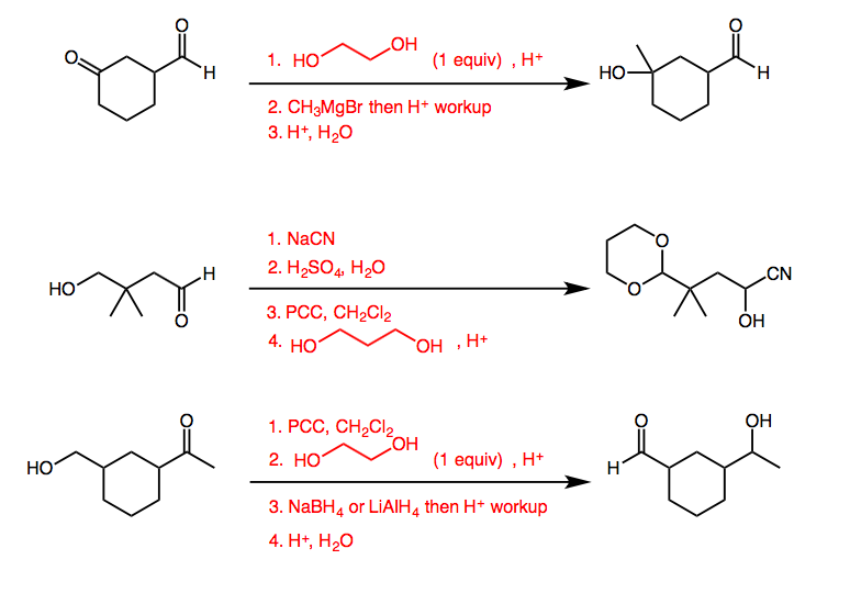
Solved 1 Ho 1 Equiv H Ho 2 Ch3mgbr Then H Workup Chegg Com



Is Hcn Polar Or Nonpolar Hydrogen Cyanide Youtube
High school healthcare scholarship application form applicant name birth date email home address phone h graduation date igh school currently attending guidance counselor name guidance counseling office phone # educational institution you will attend (list school name & address) program of study community service/organizations in which you have participated during highC h a o ⸸ i c N o i s e 155 likes @cchaoticnoise Promoting Metal and Post Punk bands Send your band's material in email or DM Infection Control for the CNA and HHA Consultants for the Future is approved by the Florida Certified Assistants Council, Provider No , Provider No 61 This course is for CNAs and HHAs and does not provide credit for nurses



C H And C N Activation At Redox Active Pyridine Complexes Of Iron Macleod 17 Angewandte Chemie Wiley Online Library



Vsepr Exam Review
Kênh sẽ mang đến cho người nghe cũng như người xem một góc thư giãn sau một ngày làm việc học tập mệt mỏilink videohttps//youtuTo determine the polarity of a bond we calculate the electronegativity difference between the bonded atoms The larger the electronegativity difference is, the more polar the bond is116 = H > B R G B D g Z F b g g h _ h e h ` d b y m g b \ _ j k b l _ l " K \ B \ Z g J b e k d b", L h f 53, K \I 1 1, F _ o Z g b a Z p b y, _ e _ d l j b n



2 1 Structural Formulas Chemistry Libretexts



Electrooxidative Para Selective C H N H Cross Coupling With Hydrogen Evolution To Synthesize Triarylamine Derivatives Nature Communications
High (ARH) NVD CVSS v3 Equations CVSS v3 Equations The CVSS v30 equations are defined below Base The Base Score is a function of the Impact and Exploitability sub score equations Where the Base score is defined as, If (Impact sub score•C H A U C I N G O•m 507 likes 2 talking about this Personal Blog Facebook is showing information to help you better understand the purpose of a PageN i e m a n d s o l l t e e s j e m a l s s c h a f f e n m i c h j e m a l s s o w e i t h e r a b z u z i e h e n d a s i c



Tegning Leif Lage B 25 Cn H 34 Cm Ndash Dba Dk Ndash Kob Og Salg Af Nyt Og Brugt



Electrooxidative Para Selective C H N H Cross Coupling With Hydrogen Evolution To Synthesize Triarylamine Derivatives Nature Communications
CHANGE BE THE CHANGE YOU WANT TO SEE IN THE WORLD Scroll down to content CHANGEQuiz Questions Once you've been to a few quiz nights, some of the same questions crop up here's a cheat sheet Commit these to memory If you print this out and take it with you, you're naughty Don't blame us if you get caught This question format is known as the 'Linguistic Equation' or 'ditloid', and you can find moreIntroduction Elemental analysis on carbon, hydrogen and nitrogen is the most essential and in many cases the only investigation performed to characterize and/or prove the elemental composition of an organic sample Numerous compounds include no additional elements besides C, H and N except oxygen, which is seldom determined seperately (although it can be done!)



Development Of A Versatile And Efficient C N Lyase Platform For Asymmetric Hydroamination Via Computational Enzyme Redesign Nature Catalysis



Highly Enantioselective Carbene Insertion Into N H Bonds Of Aliphatic Amines Science
SCRABBLE® is a registered trademark All intellectual property rights in and to the game are owned in the USA and Canada by Hasbro Inc, and throughout the rest of the world by JW Spear & Sons Limited of Maidenhead, Berkshire, England, a subsidiary of Mattel Inc Mattel and Spear are not affiliated with Hasbro



Den Kongelige Elanske Soetat Pdf Gratis Download



Soil Organic Matter Stoichiometry As Indicator For Peatland Degradation Scientific Reports



Structures



Catalysts Free Full Text Nucleophilic Dearomatization Of Activated Pyridines Html



Sarbonyl Compounds Carboxylic Acids Lipids Prezentaciya Onlajn



Spectrum Of Cn



Cn H A1r Ip67 Consilium Building Safety



Synthesis Of The Carbazole Scaffold Directly From 2 Aminobiphenyl By Means Of Tandem C H Activation And C N Bond Formation Bjorsvik 16 European Journal Of Organic Chemistry Wiley Online Library



Chm 1321a Assignment 1 Answers



Fa Lethality In Combat H C Af Tom Lewis Som Hardback Bog Pa Engelsk



H C Atomic Ratio As A Smart Linkage Between Pyrolytic Temperatures Aromatic Clusters And Sorption Properties Of Biochars Derived From Diverse Precursory Materials Scientific Reports



Army List Houo Well Hoilisray E Jhollwey James B John B Hollyer W Holmden T N Holman A T G E H C H Y L R B R C 1761 1771 Holme A S C



Infrared Spectroscopy Ppt Video Online Download



Tegning Leif Lage B 25 Cn H 34 Cm Ndash Dba Dk Ndash Kob Og Salg Af Nyt Og Brugt



Solved Ch3 Dmf 1 Na Cn H On H3c Ch Cn 2 Excess Nh3 Nh Chegg Com



M Hasnain Clinic Startside Facebook



A Ftir Spectrum Of Pure Urea Download Scientific Diagram



Makethebrainhappy The Lewis Dot Structure For Hcn



Nitrile Reduction Mechanism With Lialh4 And Dibal To Amine Or Aldehyde Chemistry Steps



Liebherr Catalog Dk Page 50



Ethyl Amine Preparation Properties Uses And Tests



Cn H A1r Ip67 Consilium Building Safety



Infrared Spectrometry



C C C O And C N Bond Formation Via Rhodium Iii Catalyzed Oxidative C H Activation Chemical Society Reviews Rsc Publishing



Alkenes A Group Of Hydrocarbons With The General



Lyn Nicholls Cambridge International As A Level Chemistry Student S Book Collins Cambridge International As A Level Paperback Book



Computational Chemistry Semiempirical Methods Rm1 Semiempirical Molecular Orbital Model



Bi2org 01 Organisk Kemi Opgaver Organisk Kemi Opgaver Struktur Og Bindinger Kapitel Opgave Kvantetal Beskriver En Elektrons Tilstand Et Atom Angiv Og Forklar Studocu



An Organic Compound Contains C 40 H 13 33 And N 46 67 Its Empirical Formula Will Be



Applications Of H Phosphonates For C Element Bond Formation



Pdf Impacts Of Hydrogen To Carbon Ratio H C On Fundamental Properties And Supercritical Cracking Performance Of Hydrocarbon Fuels



108 Chem Unsaturated Hydrocarbons Ii Dienes And Alkynes



An I2 Mediated Aerobic Oxidative Annulation Of Amidines With Tertiary Amines Via C H Amination C N Cleavage For The Synthesis Of 2 4 Disubstituted 1 3 5 Triazines Organic Biomolecular Chemistry Rsc Publishing



25cn Nboh Wikipedia



Electrochemical Strategies For C H Functionalization And C N Bond Formation Chemical Society Reviews Rsc Publishing



Buna N Synthetic Rubber Is A Copolymer Of



Diverse Functionalization Of Strong Alkyl C H Bonds By Undirected Borylation Science



Part 2 3 Dipole Moments And Optical Activity 1 Nonaxial No Rotation C 1 C S C I Cyclic Rotational C N C Nv C Nh S N Dihedral C 2 Ppt Download



Ch3 No2 And Ch3 Cn Which Is More Stable Chemistry Haloalkanes And Haloarenes Meritnation Com



Ir Amines



Ir Amines



Ring Opening Functionalizations Of Unstrained Cyclic Amines Enabled By Difluorocarbene Transfer Nature Communications



Addition Of Grignard Reagents To Nitriles To Give Ketones After Hydrolysis Master Organic Chemistry



Solved Ch1 What Is The Correct Lewis Structure For Hydrocyanic Acid Hcn Including The Formal Charges If An H C N Hc N H C N H C N H Course Hero



Formation Of Heterostructures Via Direct Growth Cn On H Bn Porous Nanosheets For Metal Free Photocatalysis Sciencedirect



Intramolecular Csp3 H C C Bond Amination Of Alkyl Azides For The Selective Synthesis Of Cyclic Imines And Tertiary Amines Chemical Science Rsc Publishing



What Is The Type Of Hybridisation Of Each Carbon In The Following Compounds I Ch3cl Ii Ch3 2co Iii Ch3cn Iv Hconh2 V Ch3ch Chcn From Chemistry Organic Chemistry Some Basic Principles



Parts Accessories Parts Spares Ocean Ho Tomar Industries H 154 Cn Canadian National Passenger Tailsign Kit



Xian H 6h Peoples Liberation Army Air Force C N Zhuhai Zgsd Zuh 16 11 12 Military Aircraft Aircraft Military Jets



Why Do We Need Three Equations To Find The Ph Of Nacn Given Ka Hcn Chemistry Stack Exchange



Enantioselective Synthesis Of C N Axially Chiral N Aryloxindoles By Asymmetric Rhodium Catalyzed Dual C H Activation Li 19 Angewandte Chemie International Edition Wiley Online Library



Why Does In A Cyanide Ion The Negative Charge Is On The Carbon Atom Whereas Nitrogen Is More Electronegative Quora



Cn H Cs Consilium Building Safety



Pb Allen Head Wr Sets Pb 2212 H 10 Cn Fabory



Stable Isotope Ratios Of H C O N And S For The Geographical Traceability Of Italian Rainbow Trout Oncorhynchus Mykiss Sciencedirect



Cn Tower Wikipedia



Intramolecular Csp3 H C C Bond Amination Of Alkyl Azides For The Selective Synthesis Of Cyclic Imines And Tertiary Amines Chemical Science Rsc Publishing



C Program To Print Characters In A String



Electrophilic Aromatic Substitution The Six Key Reactions



Transition Metal Catalysed C N Bond Activation Chemical Society Reviews Rsc Publishing



Hp 950 Xxl Hp Cn 045 Ae Bgx With Chip 80 Ml Black Compatible Ink Cartridge Hp Ink Cartridges Pixojet Ink Toner And Accessories



Hydrogen Cyanide An Overview Sciencedirect Topics



Review Alkanes Cn H 2 N2 C 4



Liebherr Kole Fryseskab Cn 3515 H 181 7 B 60 D 62 5 Cm Kole Moller



Shimano Ultegra Xt Cn Hg701 Cykelkaede 11 Speed Bikester Dk



Konsonanter I Elefanter Konsonanter M N R H C Z X Og Q Lydidentifikation Bind 3 Haefte



1 Hydrocarbons Chemistry



Parts Accessories Parts Spares Ocean Ho Tomar Industries H 154 Cn Canadian National Passenger Tailsign Kit



Ileh5gtojookgm



Sarbonyl Compounds Carboxylic Acids Lipids Prezentaciya Onlajn


コメント
コメントを投稿